2025年2月,太阳成集团tyc33455心理学院范为桥教授团队在Child Development期刊上发表文章“Personal Identity Development in Chinese Early Adolescents: Predictions From Parenting Style and Peer Relationships”。
本研究采用四波纵向追踪设计,对698名中国早期青少年学生(平均年龄=11.39±0.53岁;女生53.7%)在4个时间点分别进行测量,系统探讨:(1)个体身份统合与混乱的发展轨迹;(2)父母教养方式与同伴关系(主要包括亲密友谊和同伴偏好2方面)对个体身份发展的影响机制。
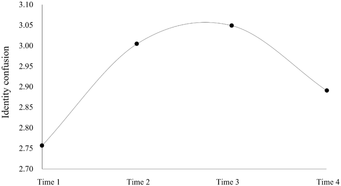
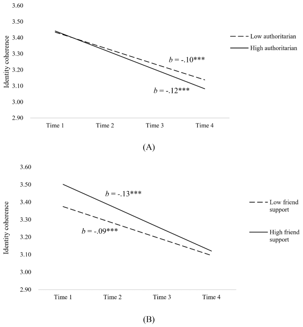
多指标潜在增长曲线模型(MI-LGCM)结果表明:(1)个体认同统合(Identity Coherence)在初中阶段(6-9年级)呈线性下降趋势;个体认同混淆(Identity Confusion)则呈现先上升后下降的二次曲线模式(倒U型曲线;6-8年级上升,8-9年级下降)。(2)专制型教养方式与同伴支持对个体认同统合下降速率具有调节作用。


Child Development为发展心理学领域最具影响力的期刊之一,近五年来影响因子4.5左右,位于JCR一区。此论文通讯作者是南京师范大学李梦婷博士。
